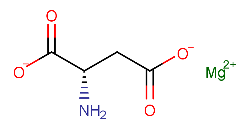
CAS:215533-00-9
Product Standard:EP11/In-house
Packing Specification:25kg/barrel
Product Appearance:White powder
Product Usage:Amino acid chelated magnesium, good solubility, high absorption efficiency, used as magnesium supplement.
Molecular structure formula:
