宁波恒先生物科技有限公司
专业食品配料制造商
+86-574-56266562
网站首页
公司简介
产品中心
优质品质
联系我们
语言
English
中文版
Español
Français
Русский язык
Deutsch
Nederlandse taal
بالعربية
Português
Italiano
Dansk sprog
Srbijanski jezik
Ελληνικά
Język polski
网站首页
公司简介
产品中心
优质品质
联系我们
English
中文版
Español
Français
Русский язык
Deutsch
Nederlandse taal
بالعربية
Português
Italiano
Dansk sprog
Srbijanski jezik
Ελληνικά
Język polski
镁盐产品系列
葡萄糖酸盐系列
柠檬酸盐系列
乳酸盐系列
苹果酸系列
甘氨酸盐系列
月桂酸系列
甘油磷酸系列
其他产品
维他命
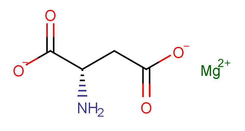
天门冬氨酸镁
CAS号:215533-00-9
产品标准:EP11/In-house
包装规格:25kg/桶
产品外观:白色粉末
产品用途:氨基酸螯合镁,溶解性好,吸收效率高,用作镁补充剂。
分子结构式:
上一页:
抗坏血酸镁
下一页:
氧化锌